Cуперфинал Первенства ЛЛБ Ульяновска по пирамиде за I полугодие 2017 года

Турнир
Завершён
Место проведения
Сроки
Начало очной регистрации: 
01.07.2017 - 11:00
Начало турнира: 
01.07.2017 - 12:00
Начало следующего дня: 
02.07.2017 - 12:00
Окончание: 
02.07.2017
Правила предварительной и очной регистрации
Максимальное число участников: 
16
Регламент ЛЛБ
Гандикапная схема: 
Пирамида. Схема № 3 (новичкам) (8-7, 9-7, 9-6, 10-6, 10-5, 11-5, 11-4, 12-4)
Коэффициент сложности: 
0.72
Регламент
Вид спорта: 
Пирамида
Дисциплина: 
Динамичная
Дисциплина: 
Комбинированная
Дисциплина: 
Свободная
Уровень: 
Региональный
Тип турнира: 
Личный
Регламент встреч: 
"Свободная" до 3-х побед, "Комбинированная" до 2-х побед, "Динамичная" до 2-х побед, до 2-х очков
Форма одежды: 
свободная
Вступительный взнос: 
Бесплатно
Игровое время: 
Оплачивает проигравший со скидкой 50 %
Призовой фонд: 
Дипломы, кубки + накопительный фонд ЛЛБ 2017 г. БК Виктория
Организаторы
Судьи: 
Партнеры и спонсоры
Дополнительная информация

К участию в Суперфинале допускаются 16 сильнейших по рейтингу ЛЛБ 2017 г. за I полугодие
Участники сеятся согласно положению в рейтинге по состоянию на 29 июня 2017 года

http://www.llb.su/ratings/2454155

В случае отказа или неявки игрока на турнир, его место занимает игрок следующий по рейтингу http://www.llb.su/ratings/2454155 17 место, 18 и т.д.!

В случае неявки, опоздания на 15 минут или отказа от участия, игроку засчитывается поражение.

Распределение призового фонда:

1 место - 5 000 рублей.
2 место - 3 500 рублей.
3-4 место - 2 500 рублей.
5-8 место - 5 00 рублей.

Из НФ 4150 р идут на закупку призов (4 кубка + дипломы)

Статистика
Количество участников: 
16
Количество встреч: 
27
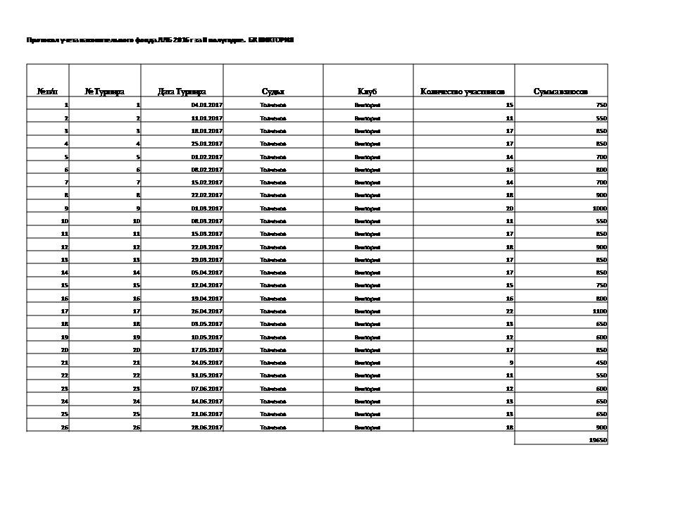
Прикрепленный файлРазмер
Протокол учета накопительного фонда ЛЛБ 2017 г за I полугодие. БК Виктория.pdf237.61 кб
Протокол учета накопительного фонда ЛЛБ 2017 г за I полугодие. БК ВИКТОРИЯ.jpg90.91 кб